개발하는 사막여우
개발하는 사막여우
개발하는 사막여우
전체 방문자
오늘
어제
  • All (310)
    • Books (13)
      • 읽기 좋은 코드가 좋은 코드다 (13)
    • Study (6)
      • Blockchain (3)
      • Algorithm (3)
    • Baekjoon (36)
    • Programmers (166)
    • LeetCode (15)
    • Open Source (1)
      • Youtube Popout Player (1)
    • Language (32)
      • Python (9)
      • JS (8)
      • Java (5)
      • HTML (6)
      • CSS (4)
    • Library & Framework (15)
      • React.js (15)
    • IDE (2)
      • IntelliJ (2)
    • Airdrop (9)
    • Tistory (2)
    • etc.. (12)
      • Cozubi (6)
      • lol-chess (0)

블로그 메뉴

  • Github

공지사항

인기 글

태그

  • 프로그래머스 위클리 챌린지
  • 파이썬
  • 2018 KAKAO BLIND RECRUITMENT
  • 클린 코드
  • 코인줍줍
  • 카카오 코딩테스트
  • 알고리즘문제풀이
  • 코딩테스트연습
  • Java
  • 코주비
  • 신규 코인 에어드랍
  • programmers
  • 프로그래머스
  • 카카오 알고리즘 문제
  • 클린 코드 작성법
  • 카카오 공채
  • 백준
  • Cozubi
  • Python
  • 읽기 좋은 코드가 좋은 코드다

최근 댓글

최근 글

티스토리

반응형
hELLO · Designed By 정상우.
개발하는 사막여우

개발하는 사막여우

[프로그래머스] 가장 먼 노드 / Python
Programmers

[프로그래머스] 가장 먼 노드 / Python

2021. 2. 1. 17:49
반응형

문제주소 :programmers.co.kr/learn/courses/30/lessons/49189

 

코딩테스트 연습 - 가장 먼 노드

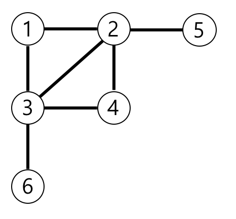
6 [[3, 6], [4, 3], [3, 2], [1, 3], [1, 2], [2, 4], [5, 2]] 3

programmers.co.kr


<문제 설명>

더보기

문제 설명

n개의 노드가 있는 그래프가 있습니다. 각 노드는 1부터 n까지 번호가 적혀있습니다. 1번 노드에서 가장 멀리 떨어진 노드의 갯수를 구하려고 합니다. 가장 멀리 떨어진 노드란 최단경로로 이동했을 때 간선의 개수가 가장 많은 노드들을 의미합니다.

노드의 개수 n, 간선에 대한 정보가 담긴 2차원 배열 vertex가 매개변수로 주어질 때, 1번 노드로부터 가장 멀리 떨어진 노드가 몇 개인지를 return 하도록 solution 함수를 작성해주세요.

제한사항

  • 노드의 개수 n은 2 이상 20,000 이하입니다.
  • 간선은 양방향이며 총 1개 이상 50,000개 이하의 간선이 있습니다.
  • vertex 배열 각 행 [a, b]는 a번 노드와 b번 노드 사이에 간선이 있다는 의미입니다.

입출력 예

n                                               vertex                                         return
6 [[3, 6], [4, 3], [3, 2], [1, 3], [1, 2], [2, 4], [5, 2]] 3

입출력 예 설명

예제의 그래프를 표현하면 아래 그림과 같고, 1번 노드에서 가장 멀리 떨어진 노드는 4,5,6번 노드입니다.

 

<풀이법>

▒ 한줄 개념: BFS ▒ 

BFS를 이용하면 쉽게 풀 수 있습니다.

다만, matrix를 이용하여 구현하려고 하면 시간 초과가 발생합니다.

따라서, 딕셔너리를 이용하여 BFS를 구현한다면, 쉽게 해결할 수 있습니다.

 

<코드(Python)>

def solution(n, edge):
    dic = {}
    visited = [True] + [False for i in range(1,n)]
    distance = [0 for i in range(n)]
    for e in edge:                       # 초기화
        if (e[0] - 1) in dic:
            dic[e[0] - 1] += [e[1]-1]
        else:
            dic[e[0] - 1] = [e[1]-1]
        if (e[1] - 1) in dic:
            dic[e[1] - 1] += [e[0]-1]
        else:
            dic[e[1] - 1] = [e[0]-1]
        

    queue = [(0, 0)]                     
    while len(queue) != 0:               # BFS
        dist, num = queue.pop(0)
        if distance[num] < dist:
            distance[num] = dist
        for i in dic[num]:
            if not visited[i]:
                queue += [(dist + 1, i)]
                visited[i] = True

    return distance.count(max(distance))

 

 

더 많은 코드 보기(GitHub) : github.com/dwkim-97/CodingTest

 

 

반응형
저작자표시 (새창열림)

'Programmers' 카테고리의 다른 글

[프로그래머스] 배달 / Python  (0) 2021.02.02
[프로그래머스] 순위 / Python  (0) 2021.02.02
[프로그래머스] 여행경로 / Python / 반례  (0) 2021.02.01
[프로그래머스] 이중우선순위큐 / Python  (0) 2021.02.01
[프로그래머스] 디스크 컨트롤러 / Python  (0) 2021.02.01
    'Programmers' 카테고리의 다른 글
    • [프로그래머스] 배달 / Python
    • [프로그래머스] 순위 / Python
    • [프로그래머스] 여행경로 / Python / 반례
    • [프로그래머스] 이중우선순위큐 / Python
    개발하는 사막여우
    개발하는 사막여우
    개발개발 주저리주저리

    티스토리툴바