문제주소 :programmers.co.kr/learn/courses/30/lessons/12978
코딩테스트 연습 - 배달
5 [[1,2,1],[2,3,3],[5,2,2],[1,4,2],[5,3,1],[5,4,2]] 3 4 6 [[1,2,1],[1,3,2],[2,3,2],[3,4,3],[3,5,2],[3,5,3],[5,6,1]] 4 4
programmers.co.kr
<문제 설명>
문제 설명
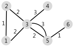
N개의 마을로 이루어진 나라가 있습니다. 이 나라의 각 마을에는 1부터 N까지의 번호가 각각 하나씩 부여되어 있습니다. 각 마을은 양방향으로 통행할 수 있는 도로로 연결되어 있는데, 서로 다른 마을 간에 이동할 때는 이 도로를 지나야 합니다. 도로를 지날 때 걸리는 시간은 도로별로 다릅니다. 현재 1번 마을에 있는 음식점에서 각 마을로 음식 배달을 하려고 합니다. 각 마을로부터 음식 주문을 받으려고 하는데, N개의 마을 중에서 K 시간 이하로 배달이 가능한 마을에서만 주문을 받으려고 합니다. 다음은 N = 5, K = 3인 경우의 예시입니다.

위 그림에서 1번 마을에 있는 음식점은 [1, 2, 4, 5] 번 마을까지는 3 이하의 시간에 배달할 수 있습니다. 그러나 3번 마을까지는 3시간 이내로 배달할 수 있는 경로가 없으므로 3번 마을에서는 주문을 받지 않습니다. 따라서 1번 마을에 있는 음식점이 배달 주문을 받을 수 있는 마을은 4개가 됩니다.
마을의 개수 N, 각 마을을 연결하는 도로의 정보 road, 음식 배달이 가능한 시간 K가 매개변수로 주어질 때, 음식 주문을 받을 수 있는 마을의 개수를 return 하도록 solution 함수를 완성해주세요.
제한사항
- 마을의 개수 N은 1 이상 50 이하의 자연수입니다.
- road의 길이(도로 정보의 개수)는 1 이상 2,000 이하입니다.
- road의 각 원소는 마을을 연결하고 있는 각 도로의 정보를 나타냅니다.
- road는 길이가 3인 배열이며, 순서대로 (a, b, c)를 나타냅니다.
- a, b(1 ≤ a, b ≤ N, a != b)는 도로가 연결하는 두 마을의 번호이며, c(1 ≤ c ≤ 10,000, c는 자연수)는 도로를 지나는데 걸리는 시간입니다.
- 두 마을 a, b를 연결하는 도로는 여러 개가 있을 수 있습니다.
- 한 도로의 정보가 여러 번 중복해서 주어지지 않습니다.
- K는 음식 배달이 가능한 시간을 나타내며, 1 이상 500,000 이하입니다.
- 임의의 두 마을간에 항상 이동 가능한 경로가 존재합니다.
- 1번 마을에 있는 음식점이 K 이하의 시간에 배달이 가능한 마을의 개수를 return 하면 됩니다.
입출력 예
N road K result| 5 | [[1,2,1],[2,3,3],[5,2,2],[1,4,2],[5,3,1],[5,4,2]] | 3 | 4 |
| 6 | [[1,2,1],[1,3,2],[2,3,2],[3,4,3],[3,5,2],[3,5,3],[5,6,1]] | 4 | 4 |
입출력 예 설명
입출력 예 #1
문제의 예시와 같습니다.
입출력 예 #2
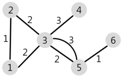
주어진 마을과 도로의 모양은 아래 그림과 같습니다.

1번 마을에서 배달에 4시간 이하가 걸리는 마을은 [1, 2, 3, 5] 4개이므로 4를 return 합니다.
<풀이법>
▒ 한줄 개념: 다익스트라 / 와샬 플로이드 알고리즘 ▒
다익스트라 또는 와샬-플로이드 알고리즘을 이용해서 1번 마을부터 나머지 마을까지의 거리를 구한 후, K보다 작은 거리값이 몇개 있는지 반환하면 되는 문제입니다.
문제에서 주의할 점으로는 한 마을에 대해 2개 이상의 길이 있을 수 있습니다. 따라서 여러가지 길 중 최솟값을 저장해놓고 사용해야합니다.
2번 예시 : [...[3,5,2],[3,5,3],...] -> [3,5,2]만 사용!
전체적인 문제풀이 방식은 다음과 같습니다.
1. 초기화
입력으로 들어온 값들을 이용하여 그래프를 초기화해줍니다.
효율성 테스트가 따로 없는 문제로서, matrix를 사용해도 되고, hash map(dictionary)를 사용해도 됩니다.
모든 마을에 대해 자기 자신은 무조건 도달 가능함으로서, 자기 자신으로 가는 경로값은 0으로 초기화합니다.
road에서 주어지지 않은 마을까지의 거리 값은 math.inf를 이용해 무한대 값으로 초기화합니다.
2. 마을간의 거리 계산
다익스트라 또는 와샬-플로이드 알고리즘을 이용하여 거리값을 계산합니다. BFS/DFS를 이용하여도 된다고 합니다.
다익스트라 알고리즘을 사용할 경우 1번 마을부터 다른 모든 마을까지의 거리값을 얻어낼 수 있습니다.
와샬-플로이드 알고리즘을 사용할 경우 모든 마을에 대한 각각의 최소 거리값을 구할 수 있습니다.
3. 계산된 거리 < K ?
1번마을부터 다른 모든 마을까지의 최소 거리값을 K와 비교하여 answer 값을 차차 증가시켜줍니다.
최종적으로 answer 값을 반환합니다.
다익스트라 알고리즘의 경우 O(n^2)의 시간 복잡도를 가지고, 와샬-플로이드 알고리즘의 경우 O(n^3)의 시간 복잡도를 가집니다. 따라서 시간적 효율성에서는 다익스트라 알고리즘이 우수합니다.
다만 와샬-플로이드 알고리즘이 코드의 단순함이나 구현의 난이도가 훨씬 쉬운 편이라서, 문제에 따라 적절히 선택하여 사용하면 좋을 것 같습니다.


<다익스트라 알고리즘 코드(Python)>
import math
def solution(N, road, K):
answer = 0
visited = []
distance = [0] + [math.inf for i in range(1, N)]
roads = {i: {} for i in range(N)}
for r in road:
if r[1] - 1 in roads and r[0] - 1 in roads[r[1] - 1]:
if roads[r[1] - 1][r[0] - 1] > r[2]:
roads[r[1] - 1][r[0] - 1] = r[2]
roads[r[0] - 1][r[1] - 1] = r[2]
else:
roads[r[1] - 1][r[0] - 1] = r[2]
roads[r[0] - 1][r[1] - 1] = r[2]
for i in roads[0]:
distance[i] = roads[0][i]
while len(visited) != N:
minimum = math.inf
for i in range(1, N):
if i not in visited and distance[i] < minimum:
minimum = distance[i]
town = i
visited.append(town)
for i in roads[town]:
if distance[i] > distance[town] + roads[town][i]:
distance[i] = distance[town] + roads[town][i]
for d in distance:
if d <= K:
answer += 1
return answer
<와샬-플로이드 알고리즘 코드(Python)>
import math
def solution(N, road, K):
answer = 0
roads = [[math.inf for i in range(N)] for j in range(N)]
for r in road:
if roads[r[1] - 1][r[0] - 1] > r[2]:
roads[r[1] - 1][r[0] - 1] = r[2]
roads[r[0] - 1][r[1] - 1] = r[2]
for i in range(N):
roads[i][i] = 0
for path in range(N):
for i in range(N):
for j in range(N):
if roads[i][j] > roads[i][path] + roads[path][j]:
roads[i][j] = roads[i][path] + roads[path][j]
for i in range(N):
if roads[0][i] <= K:
answer += 1
return answer
더 많은 코드 보기(GitHub) : github.com/dwkim-97/CodingTest
'Programmers' 카테고리의 다른 글
| [프로그래머스] 입국심사 / Python (0) | 2021.02.02 |
|---|---|
| [프로그래머스] 광고 삽입 / Python (3) | 2021.02.02 |
| [프로그래머스] 순위 / Python (0) | 2021.02.02 |
| [프로그래머스] 가장 먼 노드 / Python (0) | 2021.02.01 |
| [프로그래머스] 여행경로 / Python / 반례 (0) | 2021.02.01 |